光合作用次級產物中的二級代謝產物之一-萜烯類分子(terpene molecules),為C10H16系列的物質(如單萜烯與倍半萜烯),在對抗細菌、驅蟲、治療濕疹皮膚病…等病症,有相當悠遠的歷史。萜烯類分子的產生主要是經由一名為「二羥甲基戊酸合成異戊二烯之路徑(mevalonate pathway)」所生成的,以甲基二羥戊酸為原料,藉由一連串酵素轉换後,產生精油的最小分子-烯(Isoproene)。
Table of Contents
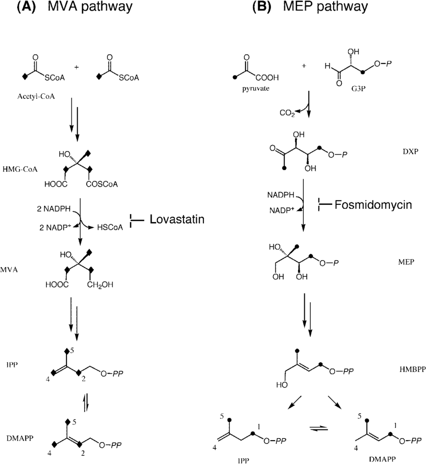
Toggle二羥甲基戊酸合成異戊二烯之路徑
「二羥甲基戊酸合成異戊二烯之路徑(mevalonate pathway)」,以甲基二羥戊酸(mevalonicacid,MVA)為生化合成的前驅者,藉由一連串酵素轉换後,二羥甲基戊酸先形成異戊二烯焦磷酸(Isopentenyl pyrophosphate,IPP),再進行異化形成二甲基烯丙基焦磷酸(Dimethylallyl pyrophosphate; DMAPP)的焦磷酸根(pyrophosphate),最後產生精油的最小分子-烯(Isoproene),如下圖:
![Formation-of-IPP-and-dimethylallyl-diphosphate-DMAPP-via-the-MVA-pathway-A-or-the-MEP [精油化學]萜烯化合物分子(terpene molecules)的生成](https://carein.com.tw/wp-content/uploads/2022/01/Formation-of-IPP-and-dimethylallyl-diphosphate-DMAPP-via-the-MVA-pathway-A-or-the-MEP.png)
何為甲基二羥戊酸?
異戊二烯單體(C5H8)為鏈狀脂肪烴(aliphatic)或非環狀脂肪烴(acyclic)。其系統命名為2-甲基-1。3-丁二烯(2-Methyl-1,3-butadiene),化學構造如圖:
![3-e1632896342882 [精油化學]萜烯化合物分子(terpene molecules)的生成](https://carein.com.tw/wp-content/uploads/2022/01/3-e1632896342882.jpg)
異戊二烯單體如何形成萜烯類?
異戊二烯單體之雙鍵於形成萜烯類時會重新排列,而每個單體至少都會含有一個雙鍵。異二烯分子很易聚集一起,結合成具支鏈構造的聚合物,在十九世紀末期首度發現橡膠其實就是由上百個異戊二烯單體連結而成的高分子聚合物。萜烯名的由來主要是源自於松節油(turpentine),它是經由松科物質(pinaceae)而產生的一種液態溶劑,科學家最早發現的萜烯分子是帶有十個碳原子的物質,因此誤以為這就是該構造最簡單的單元分子,於是便據此以做系統化命名,稱為單萜烯(monoterpene),「mono-」就是單一的意思。
常見的萜烯類分子與其命名原則
後來的研究發現,當初被認為最簡單的萜烯分子,其實尚可分解為以異二烯為單體的構造,但礙於該名稱沿用已久,故並未推翻前之命名法則,目前仍然保留單萜烯、雙萜烯之名稱。研究顯示,精油中常見的烯分子大多含兩個、三個,最多四個的異二烯單體,例如:單烯是由兩個異戊二烯連接在一起,倍半萜烯(sesquiterpenes,sesqui指一又二分之一個),由三個異戊二烯偶合在一起(如下圖),雙萜烯(diterpene-di指兩個)是,由四個異戊二烯偶合在一起。至於三萜烯(triteterpene,tri指三個)以上的化合物屬於蠟質成分,一般很難在藉由蒸氣蒸餾法所提煉的精油中被發現。
![4-e1632896772667 [精油化學]萜烯化合物分子(terpene molecules)的生成](https://carein.com.tw/wp-content/uploads/2022/01/4-e1632896772667.jpg)
延伸閱讀

